高考全关注 | 基于高考数学多变量问题的解决策略分析
高考全关注 | 基于高考数学多变量问题的解决策略分析
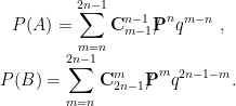
自从2022年北京卷出现含双变量的导数证明问题,近几年北京各地区模拟题中频频出现多变量问题,这对学生来说是难点问题.解决这类问题的关键是将多变量问题转化为单变量问题,再构造函数利用函数的性质解题.那么如何转化呢?首先需要观察式子的结构特征,如果题目中所给的变量互相独立,一般采用主元法、同构法和换元法;如果题目中所给的变量不是互相独立,而是互相制约,一般需要根据它们共同满足的关系式消元化简,再转化为